「FRP外観定量評価に対する表面粗さと光沢度の評価指標適合可否検証」に関する
pdf資料はこちら。
背景
繊維と樹脂を組み合わせた複合材料であるFRP(Fiber Reinforced Plastics : 繊維強化プラスチック)は、軽量化、剛性付与、耐薬品性等の観点から様々な産業用途に用いられている。層状に積層されたFRPはその破壊の多くが層間で進展することから、破壊回避に対し外観要件は求められないケースが多い一方、人の目に触れる等の理由から外観に対する要求事項が課せられるケースがある。しかしながら外観要件の多くは感覚論に基づく定性的なものであり、図面要求として明文化することが困難なため、定量化が必要である。そこで「FRP外観定量評価」として表面粗さと光沢度に着眼し、これらの指標がFRPの外観定量評価に適用できるか否かについて検証を行った。
目的
外観状態の異なる複数水準のFRPに対し、表面粗さと光沢度の測定を実施し、外観状態の違いが定量指標として適用できるか否かを判断する。
結論
光沢度はFRP外観状態の向上に伴う数値の増加がみられた。明確な相関関係を示したことから定量指標として適用できると判断する。表面粗さとFRP外観状態には明確な相関は認められず、外観状態に関する定量指標には適用困難と考える。
概要
成形型の研磨条件や成形後のFRP表面処理条件の違いにより、外観状態の異なるIV FRP surface gloss A~DのFRP平板を準備した。末尾のアルファベットA→Dの順で外観状態が良好となり、CやDでは照明を反射する状態となった(下図参照)。このFRP平板は、ガラス繊維と不飽和ポリエステルで構成されるGFRPで、表層がアイボリー色のゲルコート層である。FRP平板の外観状態によらず表面粗さはRa,Rz で0.1~1.8 μm程度で、表層が平滑な状態であることを示したが、外観状態との相関は認められなかった。一方、光沢度はFRP平板の外観状態の向上に応じて30から80GU程度に数値が上昇し、明確な相関が認められた(右図参照)。
評価準備と評価方法
外観の異なるFRP平板製作
外観の異なる4水準のFRPはすべて同一の不飽和ポリエステル樹脂とガラス繊維を用い、外観状態を評価する表層(図面上のSurface A)はアイボリー色のゲルコートを適用した。積層と成形は同一の作業者によるハンドレイアップで実施した。平板の成形型は異なる条件で表面研磨し、これらの型で成形したものを外観状態の良好な昇順にAからDとした(IV FRP surface gloss Dが最も外観状態が良好)。当該平板の図面を下図に示す。

外寸の加工はすべてハンドグラインダーにて実施した。加工後の検査は、2D寸法計測はデジタルノギスCD67-S20PS、マイクロメーターPMU300-25MB(ミツトヨ)にて実施した。寸法検査はすべて22℃、50RH%に管理された恒温恒湿にて行った。
表面粗さ測定
表面粗さは22℃、50RH%に管理された恒温恒湿にて、SJ-310(ミツトヨ)を用い、校正実施後、計測を行った。計測プローブはハイトゲージに取り付けて水平を確保した上で実施した。触針の先端半径は μmのものを用い、ローパスフィルター、ハイパスフィルターのそれぞれのカットオフ値λs、λc を0.0025mm、0.8mm、基準長さlrは0.8mmに、評価長さln は 4.0mmに設定した(適用規格 JIS B0633:2001)。測定の状況を下図に示す。

また、表面粗さに異方性がある可能性を考慮し、垂直、並びに水平方向について計測を実施した。測定方向のイメージ図を下図に示す。取得した粗さパラメータはPa,Pz, Pv,Pt,Ra,Rzの6つである。

表面光沢度測定
FRP平板表面の光沢度は22℃、50RH%に管理された恒温恒湿にて、単角度光沢計YG60S(3NH)を用い、校正実施後に計測を行った。照射角度は60°固定である。測定においては、FRP平板の表面に直接測定機を接触させることによって実施した。計測の様子を下図に示す。

測定箇所によるばらつきを把握するため、各FRP平板について、下図に示す9か所の測定を行い、平均値、標準偏差を算出した。

結果
外観の異なるFRP平板製作
IV FRP surface gloss AからDの4水準の平板の外観写真を下図に示す。IV FRP surface gloss Aと比較し、同CやDにおいては光の反射状況から光沢が出ていることがわかる。色合いの違いは光の加減によるものである。

2D寸法検査結果を下表に示す。IV FRP surface gloss Bは外寸が上限公差を0.61mm上回った。また、厚みについては狙い値3mmに対し、概ね3.5~4.5となり、0.5から1.5mm程度厚めに成形されていた。

表面粗さ測定
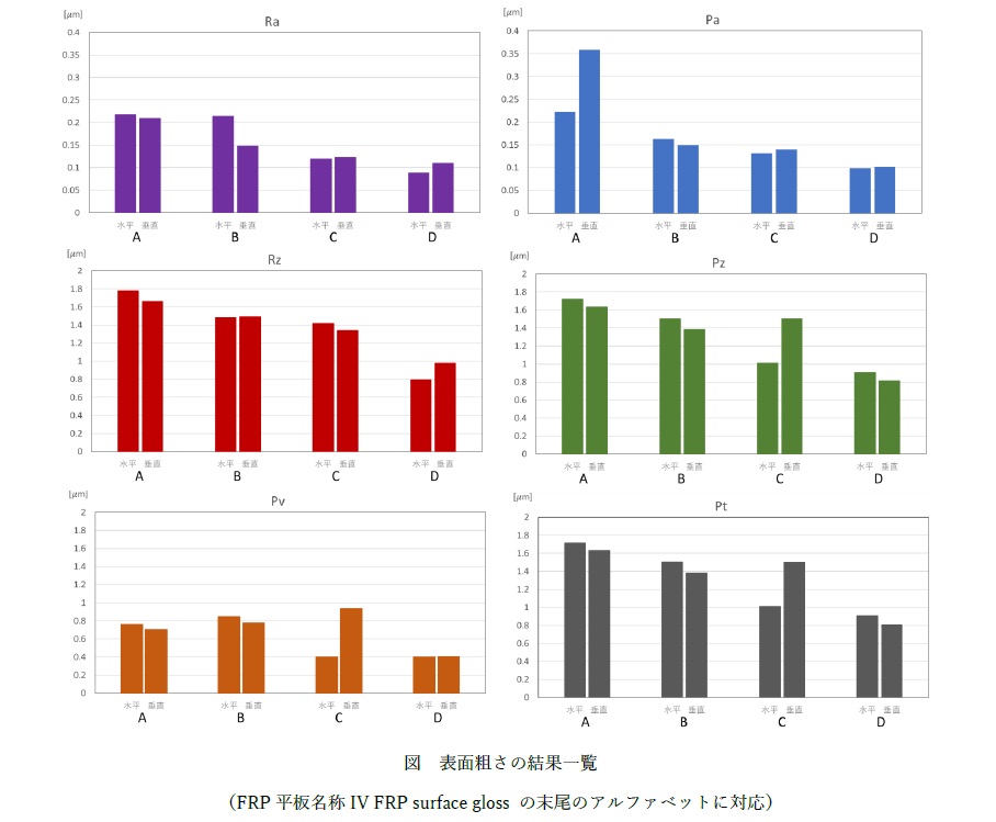
表面粗さの測定結果を下図に示す。横軸はFRP平板名称IV FRP surface gloss の末尾のアルファベットに対応し、また計測方向を水平、垂直で示している。外観状態が良好なものほど、表面粗さが減少する傾向にあることが明らかとなったが、外観状態との明確な相関は認められなかった。
水平と垂直という計測方向によって、表面粗さ指標によらずいくつかのFRP平板において当該測定値の差異が認められた。粗さ曲線を指標に算出されるRa,Rz はそれぞれ0.1~0.2μm 、0.8~1.8 μm程度、断面曲線を指標に算出されるPa,Pz は同0.1~0.35μm 、0.8~1.7 μm程度で Paの一部で大きめの数値が算出されたものの顕著な差異は認められず、長波長成分である影響は軽微であった。また、評価長さにおける最高部と最深部の合計である最大断面高さPt は0.8~1.8μm 程度、最大谷深さ Pvは0.4~0.8μm であった。

表面粗さの数値データは下表にて一覧を示す。

また、上表中の測定方向の矢印の定義を下図に示した。

表面光沢度測定
横軸にFRP平板名称、縦軸に当該平板の光沢度測定の平均値をプロットしたグラフを下図に示す。外観状態の昇順に30から80GU程度まで上昇し、外観が良好なものがより高い光沢度を示した。


光沢度の個別値を下表に示す。測定位置のアルファベットは右図の測定位置に対応する。標準偏差は1.73~4.00を示しており、特に光沢度の低い試験片についてはIV FRP surface gloss Aについては、CV値で12%程度であることから、本測定にはある程度のばらつきが存在することが明らかとなった。

考察
FRP外観定量評価への光沢度適用について
結果の所で述べた通り、外観状態の異なる4水準のFRP平板について、その表層の光沢度の平均値に差異が認められた。ただし本計測結果については結果の所で述べたように、CV値で10%を超えるなど「ばらつき」を含有していることに注意が必要である。
本変動幅も踏まえ、評価した4水準のFRP平板について、それぞれの9個の個別データを有する母集団と仮定し、各母集団の平均値(光沢度の平均値)に有意差があるか否かを一元配置分散分析によって確認した。計算にはExcelを使用し、優位水準α=0.05 に設定した。結果を以下に示す。

上記の結果から、観測された分散比は、F境界値よりも大幅に大きく、P値は有意水準である0.05(5%)を大きく下回っている。このことから、各母集団の有するばらつき、すなわちグループ内の変動よりも、FRP平板の水準の違い、すなわちグループ間の変動が支配的であることが裏付けられた。
以上のことから、光沢度はFRP外観評価の定量的な指標として有効であると考えられる。
FRP外観定量評価への表面粗さ適用について
今回得られた表面粗さの測定値は、外観状態が良好になるにつれ低下する傾向がみられた。表面粗さパラメータについて、それぞれ Ra0.25μm 、Rz 1.8μm 、Pa 0.4 μm、Pz 1.8μm 、Pt 1.8 μm、Pv は1.0μm という最大値を示したことから、これらの値以下の表面粗さが外観で光沢を実現する必要条件であるということがわかる。
しかしながら外観状態に関し、光沢度のような明らかな相関関係はデータの分布からは確認できなかった。例えばPz は測定方向による違いが認められるものの、FRP平板状態の向上に伴い低下する傾向が認められる(右図参照)。尚、横軸のA~DはFRP surface glossの末尾のアルファベットに対応している。
一方でPa はAが大きな値を示している一方で、B~Dまではほぼ同じ値となっている(右図参照)。
粗さパラメータによって挙動が異なることから、計測されたデータを直接検証するだけでは、粗さパラメータが外観状態を表現するのに適しているか否かの判断ができない。
ここで切り口を変え、FRP外観状態の変化を捉えるにあたり、個別の値ではなく「変化率」の観点から、その検知精度を考察する。外観状態の違いによる変化率が大きいということは、当該違いを感度良くとらえていることと同等と考えることができることがその背景にある。
各表面粗さパラメータの外観状態変化に応じた変化率を算出し、粗さパラメータのうちどれがFRP外観状態の変化に反映されやすいかの検証を行った。外観状態の違いによる表面粗さの変化率を算出するため、各表面粗さパラメータの結果について、下式の計算を行った。

Gm、Gnはそれぞれ水準 m、nの表面粗さ、水準Dmn は水準mとn間の表面粗さの変化率の絶対値、A~DはFRP surface gloss の末尾のアルファベットを意味する。
横軸に粗さパラメータを、縦軸に各測定における水平と垂直の表面粗さ平均値について、Dmn で示した変化率をプロットしたグラフを下図に示す。尚、下図の凡例で示された「A-B」はDABである。また同凡例中のAverageは、各粗さパラメータについてDAB,DBC,DCDの平均値を点データとしてプロットしたものである。

DABはPa が群を抜いて高い値を示しているが、DBC,DCD で同様に高い変化率を示してはおらず、計測のばらつきによるものと考えられる。DBC についても同様にPt が高い値を示しているが、DAB ,DCDの変化率が高いわけではなく、PtがFRP外観状態を感度良く捉えているとは判断できない。変化率の平均値についてPaは が若干高いように見えるが、これはDAB が極端に高いことに由来していると考えられる。
以上のことから、変化率についてばらつきが比較的大きい上、特定の粗さパラメータが高い変動率を示しているのではないことがわかった。よって、表面粗さはFRP外観状態と明確な相関関係を示さず、FRP外観定量評価の指標としては適用が困難であると判断する。
まとめ
FRP外観定量評価手法の構築を目的に、表面粗さと光沢度について外観状態の異なるFRP平板を用いて評価を実施した。その結果、光沢度がFRP外観状態に対して相関関係を示した一方、表面粗さについては当該関係を確認することができなかった。表面粗さは、はめ合い時の干渉回避や空力性能といった設計要件として有用な定量指標であるが、官能指標である外観という要件については適用が困難であることが判明したことは大きな前進である。
光学特性である光沢度は、上述の通りFRP外観状態と明確な相関を示した。この知見を活用し、FRP外観に関する要件が出た場合は定性的な表現ではなく、光沢度という定量指標の共通言語をベースに図面要件として明記し、FRPの外観状態について評価、管理していくことが肝要である。
今回の結果が、感覚論で語られることの多いFRP外観要件指標の定量化への取り組みの一つとして、当社はもちろんの事、国を問わずFRP業界全体の知見となれば幸いである。
「FRP外観定量評価に対する表面粗さと光沢度の評価指標適合可否検証」に関する
pdf資料はこちら。

